Công an TP Hà Nội thông báo danh sách 342 phương tiện vi phạm trật tự, an toàn giao thông được phát hiện qua hệ thống camera AI.
Thời gian qua, hệ thống camera AI đã phát hiện, ghi hình 342 phương tiện, bao gồm 82 xe ô tô, 260 xe máy vi phạm trật tự, an toàn giao thông. Phòng Cảnh sát giao thông Công an TP Hà Nội đã gửi thông báo đến các chủ phương tiện.
Theo đó, chủ phương tiện, người điều khiển phương tiện có thể tra cứu thông tin “phạt nguội” trên ứng dụng VNeTraffic hoặc trang thông tin điện tử của Cục Cảnh sát giao thông - Bộ Công an tại địa chỉ www.csgt.vn, hoặc liên hệ trực tiếp Đội Chỉ huy giao thông và điều khiển đèn tín hiệu giao thông (Phòng Cảnh sát giao thông Công an TP Hà Nội) tại số 54 Trần Hưng Đạo, phường Cửa Nam, TP Hà Nội, điện thoại: 0692.196.440 để được hướng dẫn, giải quyết.
Danh sách ô tô vi phạm:
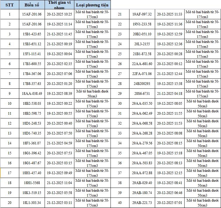
Danh sách xe máy vi phạm:
Công an TP Hà Nội thông tin, từ 0 giờ ngày 1-1-2026 đến 18 giờ ngày 4-1-2026, thông qua hệ thống camera AI, Phòng Cảnh sát giao thông (Công an TP Hà Nội) đã phát hiện hơn 670 trường hợp vi phạm trật tự, an toàn giao thông (hơn 340 trường hợp là ô tô, hơn 320 trường hợp xe mô tô).